¸ÊËàũҵ´óѧÑо¿ÍŶÓÔÚ¡¶Forests¡·½ÒÏþÑо¿Ð§¹û£¨Haixia HuangµÈ£¬£¬£¬£¬£¬£¬2023Ä꣩£¬£¬£¬£¬£¬£¬ÏµÍ³Ì½ÌÖÁËÄ£Äâ½µÓêת±ä¶ÔÕäÏ¡æÝÒÅÖ²ÎïÂã¹ûľ£¨Gymnocarpos przewalskii£©¹âºÏÌØÕ÷Ó뿹Ñõ»¯ÏµÍ³µÄÓ°Ïì¡£¡£¡£¡£¡£¡£¡£¡£ÔÚ¸ÃÑо¿ÖУ¬£¬£¬£¬£¬£¬º£ÑóÖ®Éñ590¹ÙÍøÈë¿Ú¹âºÏ±íÐÍÕÉÁ¿¼Æ»®µÄÓ¦Ó㬣¬£¬£¬£¬£¬Îª¾«×¼ÆÊÎöɳÉúÖ²Îï¶Ô½µË®×ª±äµÄ˳ӦսÂÔÌṩÁËÒªº¦ÊÖÒÕÖ§³Ö¡£¡£¡£¡£¡£¡£¡£¡£

Âã¹ûľ×÷ΪµÚÈý¼Í²ÐÒÅÎïÖÖ£¬£¬£¬£¬£¬£¬Ö÷ÒªÂþÑÜÓÚÖйúÎ÷±±É³Ä®µØÇø£¬£¬£¬£¬£¬£¬¶Ôά³Ö»ÄÔÉú̬ƽºâ¾ßÓÐÖ÷Òª×÷Óᣡ£¡£¡£¡£¡£¡£¡£Ëæ×ÅÈ«ÇòÌìÆø×ª±ä¼Ó¾ç£¬£¬£¬£¬£¬£¬Î÷±±¸ÉºµÇø½µË®ÃûÌò¨¶¯ÏÔÖø£¬£¬£¬£¬£¬£¬Ã÷È·¸ÃÎïÖÖµÄË®·Ö˳Ӧ»úÖÆ¶ÔÉú̬±£»£»£»£»£»£»£»£»¤ÖÁ¹ØÖ÷Òª¡£¡£¡£¡£¡£¡£¡£¡£
Ñо¿ÉèÖà 5 ¸ö½µÓêÌݶȣ¨»ù×¼Öµ±15%¡¢±30% ¼°»ù×¼Öµ£©£¬£¬£¬£¬£¬£¬½ÓÄɺ£ÑóÖ®Éñ590¹ÙÍøÈë¿Ú¹âºÏ±íÐͼƻ®²â¶¨Âã¹ûľÓ×ÃçµÄ¾»¹âºÏËÙÂÊ¡¢ÕôÌÚËÙÂÊµÈÆøÌå½»Á÷²ÎÊý£¬£¬£¬£¬£¬£¬²¢Í¨¹ý¹âÏìÓ¦ÇúÏ߯ÊÎö»ñµÃ±í¹ÛÁ¿×ÓЧÂÊ¡¢×î´ó¹âºÏËÙÂʵȽ¹µãÖ¸±ê¡£¡£¡£¡£¡£¡£¡£¡£Ð§¹ûÏÔʾ£¬£¬£¬£¬£¬£¬½µÓêÔöÌíÏÔÖøÌáÉýÂã¹ûľ¾»¹âºÏËÙÂʺÍÕôÌÚËÙÂÊ£¬£¬£¬£¬£¬£¬¶ø½µÓêïÔÌʱ£¬£¬£¬£¬£¬£¬¾»¹âºÏËÙÂÊϽµÓÉÆø¿×ÏÞÖÆ£¨ïÔÌ 15%£©ºÍ·ÇÆø¿×ÏÞÖÆ£¨ïÔÌ 30%£©ÅäºÏµ¼Ö£¬£¬£¬£¬£¬£¬Í¬Ê±Ò¶Æ¬Ë²Ê±Ë®·ÖʹÓÃЧÂÊÏÔÖøÌá¸ß¡£¡£¡£¡£¡£¡£¡£¡£

ͼ1. ½µÓêת±ä¶ÔÂã¹ûľҶƬ¹âºÏÌØÕ÷²ÎÊýµÄÓ°Ïì

ͼ 2. ½µÓêת±äϵĹâÏìÓ¦ÇúÏߣ¨Pn–PAR£©
±í 1. ²î±ð½µÓê´¦Öóͷ£ÏÂÂã¹ûľҶƬµÄ¹âÏìÓ¦²ÎÊý

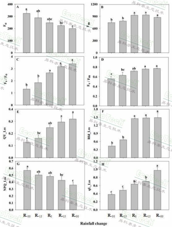
º£ÑóÖ®Éñ590¹ÙÍøÈë¿Ú¹âºÏ±íÐͼƻ®ÖеÄÒ¶ÂÌËØÓ«¹â³ÉÏñϵͳÔò¾«×¼²¶»ñÁ˽µÓêת±ä¶ÔÂã¹ûľ¹âϵͳ II£¨PSII£©¹¦Ð§µÄÓ°Ïì¡£¡£¡£¡£¡£¡£¡£¡£Êý¾ÝÅú×¢£¬£¬£¬£¬£¬£¬½µÓêïÔ̵¼ÖÂÒ¶ÂÌËØº¬Á¿Ï½µ£¬£¬£¬£¬£¬£¬PSII ×î´ó¹â»¯Ñ§Ð§ÂʺÍÎÈ̬¹âѧÁ¿×ÓЧÂʽµµÍ£¬£¬£¬£¬£¬£¬Òý·¢Ã÷ÏÔ¹âÒÖÖÆ£»£»£»£»£»£»£»£»¶ø½µÓêÔöÌíÔòÏÔÖø¸ÄÉÆÁËÕâЩӫ¹â²ÎÊý¡£¡£¡£¡£¡£¡£¡£¡£Í¨¹ýÏà¹ØÐÔÆÊÎö£¬£¬£¬£¬£¬£¬Ó«¹â²ÎÊýÓë¹âºÏ²ÎÊý·ºÆðÏÔÖø¹ØÁª£¬£¬£¬£¬£¬£¬Ö¤ÊµÁËË®·ÖÌõ¼þ¶Ô¹âºÏ»ú¹¹¹¦Ð§µÄÖ±½Óµ÷¿Ø×÷Óᣡ£¡£¡£¡£¡£¡£¡£
±ðµÄ£¬£¬£¬£¬£¬£¬½µÓêïÔÌ 30% ʱ£¬£¬£¬£¬£¬£¬Âã¹ûľҶƬÖг¬ÑõÒõÀë×Ӻ͹ýÑõ»¯Çâ´ó×Ú»ýÀÛ£¬£¬£¬£¬£¬£¬Òý·¢Ä¤Ö¬¹ýÑõ»¯ËðÉË£»£»£»£»£»£»£»£»¶ø³¬Ñõ»¯ÎïÆç»¯Ã¸¡¢¹ýÑõ»¯ÎïøºÍ¹ýÑõ»¯Çâø»îÐÔͬ²½ÔöÇ¿£¬£¬£¬£¬£¬£¬Ðͬɨ³ý»îÐÔÑõ£¬£¬£¬£¬£¬£¬»º½â¹âºÏ»ú¹¹ËðÉË¡£¡£¡£¡£¡£¡£¡£¡£ÕâÒ»¿¹Ñõ»¯·ÀÓù»úÖÆµÄÕ¹ÏÖ£¬£¬£¬£¬£¬£¬ÎªÃ÷ȷɳÉúÖ²ÎïµÄ¿¹ºµÕ½ÂÔÌṩÁËÖ÷ÒªÒÀ¾Ý¡£¡£¡£¡£¡£¡£¡£¡£

ͼ 3. ½µÓêת±äÏÂÂã¹ûľҶƬҶÂÌËØÓ«¹â²ÎÊýµÄת±ä

±í 2. ¹âÏìÓ¦ÇúÏßÌØÕ÷²ÎÊýÓëÓ«¹â²ÎÊýÖ®¼äµÄÏà¹ØÐÔ
¹âºÏÒÇÓëÒ¶ÂÌËØÓ«¹â³ÉÏñµÄÐͬӦÓ㬣¬£¬£¬£¬£¬ÊµÏÖÁË´ÓÆøÌå½»Á÷µ½¹âºÏ»ú¹¹ÄÚ²¿¹¦Ð§µÄÈ«·½Î»¼à²âÏ¢ÕùÎö£¬£¬£¬£¬£¬£¬ÎªÁ¿»¯½µÓêת±ä¶ÔÖ²ÎïÐÄÀíÌØÕ÷µÄÓ°ÏìÌṩÁ˿ɿ¿ÊÖÒÕÊֶΡ£¡£¡£¡£¡£¡£¡£¡£¸ÃÑо¿Ð§¹û²»µ«ÆÊÎöÁËÂã¹ûľ¶Ô½µË®×ª±äµÄ˳Ӧ»úÖÆ£¬£¬£¬£¬£¬£¬Ò²ÎªÎ÷±±¸ÉºµÇø»ÄÔÖ²Îï×ÊÔ´±£»£»£»£»£»£»£»£»¤¡¢Éú̬ϵͳÐÞ¸´ÌṩÁË¿ÆÑ§Ö§³Ö¡£¡£¡£¡£¡£¡£¡£¡£



×óͼ FluorTron®Ò¶ÂÌËØÓ«¹â³ÉÏñ´óÌï¼à²â£»£»£»£»£»£»£»£»ÖÐͼ£ºÒ¶ÂÌËØÓ«¹â³ÉÏñ£»£»£»£»£»£»£»£»ÓÒͼ£ºÒ¶ÂÌËØÓ«¹â¹âÆ×¶¯Ì¬£¨EcoTech® ʵÑéÊÒÌṩ£©
Î÷°²Ñз¢ÖÐÐÄ
΢ÐŹ«ÖÚºÅ
ÓªÒµ×Éѯ
΢ÐźÅ
º£ÑóÖ®Éñ590¹ÙÍøÈë¿Ú¹«Ë¾
΢ÐŹ«ÖÚºÅ
º£ÑóÖ®Éñ590¹ÙÍøÈë¿Ú¹«Ë¾
ÊÓÆµºÅ
ÁªÏµº£ÑóÖ®Éñ590¹ÙÍøÈë¿Ú£º
µØÖ·: ±±¾©Êк£µíÇø¸ßÀïÕÆÂ·3ºÅÔº6ºÅÂ¥1µ¥Î»101B
µç»°: 010-82611269/1572
ÊÖ»ú: 13671083121
´«Õæ: 010-62465844
Email: info@eco-tech.com.cn
ÓÑÇéÁ´½Ó£º
