º£ÑóÖ®Éñ590¹ÙÍøÈë¿ÚÉú̬ÊÖÒÕ¹«Ë¾Ìṩ¹âºÏ×÷ÓÃÑо¿ÖÜÈ«ÊÖÒռƻ®£º
º£ÑóÖ®Éñ590¹ÙÍøÈë¿Ú±ãЯʽ¹âºÏ×÷ÓÃÕÉÁ¿ÏµÍ³°üÀ¨±ãЯʽ¹âºÏÒǺÍÊÖ³ÖʽҶÂÌËØÓ«¹âÒÇ£¬£¬£¬£¬£¬£¬Äܹ»ÕÉÁ¿»ñµÃÖ²Îï/×÷ÎïµÄ¹âºÏ×÷ÓÃÆøÌå½»Á÷²ÎÊýºÍÒ¶ÂÌËØÓ«¹â²ÎÊý¡£¡£¡£¡£¡£Ç°Õß°üÀ¨¹âºÏËÙÂÊ/ͬ»¯ËÙÂÊ¡¢ÕôÌÚËÙÂÊ¡¢Æø¿×µ¼¶ÈµÈ£¬£¬£¬£¬£¬£¬Äܹ»·´Ó¦¹âºÏ×÷Óõĺê¹ÛÌåÏÖ£»£»£»£»£»£»£»£»ºóÕß°üÀ¨¹â»¯Ñ§×ª»¯Ð§ÂÊ¡¢µç×Óת´ïËÙÂÊ¡¢¹âºÏ»ú¹¹¹âϵͳII£¨PSII£©»îÁ¦µÈ£¬£¬£¬£¬£¬£¬Äܹ»·´Ó¦¹âºÏ×÷ÓõÄ΢¹ÛÀú³Ì¡£¡£¡£¡£¡£Òò´Ë£¬£¬£¬£¬£¬£¬±ãЯʽ¹âºÏ×÷ÓÃÕÉÁ¿ÏµÍ³Äܹ»ÖÜÈ«ÇÒÏ꾡µØ²â¶¨ºÍÆÀ¹ÀÖ²Îï/×÷ÎïµÄ¹âºÏ×÷ÓÃÐÔÄÜ¡£¡£¡£¡£¡£
ÒòÆäСÇÉÇáÓ¯¡¢Ò×Я´ø¡¢ÒײÙ×÷µÄÓŵ㣬£¬£¬£¬£¬£¬ÏµÍ³±»ÆÕ±éÓÃÓÚ×÷ÎïÓýÖÖ¡¢×÷Îïݪֲ¡¢×÷ÎïÐÄÀí¡¢»ùÒò¹¤³ÌµÈÖÚ¶àÑо¿ÁìÓò£¬£¬£¬£¬£¬£¬×ÊÖú¿í´óũҵ¿ÆÑÐÊÂÇéÕß¿ìËÙ¡¢×¼È·µØ»ñȡֲÎï¹âºÏÐÄÀíºÍÐÄÀíÉú̬Êý¾Ý£¬£¬£¬£¬£¬£¬½ÒÏþÁË´ó×Ú¸ßÖÊÁ¿¡¢ÓÐÓ°ÏìÁ¦µÄѧÊõÂÛÎÄ¡£¡£¡£¡£¡£±¾ÎÄժѡÁË×îÁ½Äê½ÒÏþÔÚ¡¶Plant Stress¡·¡¶The Plant Journal¡·¡¶Frontiers in Plant Science¡·µÈרҵѧÊõÆÚ¿¯µÄÂÛÎÄ£¬£¬£¬£¬£¬£¬Ïò¸÷ÈË·ÖÏí¹âºÏ×÷ÓÃÓëÒ¶ÂÌËØÓ«¹âÕÉÁ¿ÊÖÒÕÓ¦Óð¸Àý¡£¡£¡£¡£¡£

²Î¿¼ÂÛÎÄ£ºPascual, L. S., López-Climent, M. F., Segarra-Medina, C., Gómez-Cadenas, A., & Zandalinas, S. I. (2023). Exogenous spermine alleviates the negative effects of combined salinity and paraquat in tomato plants by decreasing stress-induced oxidative damage. Frontiers in Plant Science, 14, 1193207.
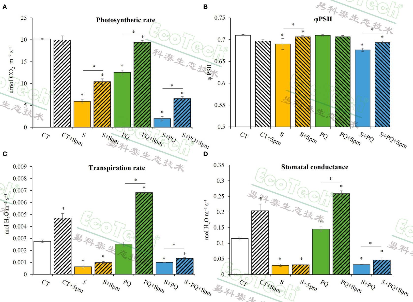
¾«°·£¨Spm£©ÊÇÒ»ÖÖ¶à°·À໯ºÏÎ£¬£¬£¬£¬£¬Òѱ»ÆÕ±é֤ʵÄܹ»µ÷ÀíÖ²ÎïµÄÐÄÀí¹¦Ð§£¬£¬£¬£¬£¬£¬°üÀ¨¿¹Ñõ»¯·ÀÓù¡¢¹âºÏ×÷ÓÃЧÂÊ¡¢Ï¸°ûÐÞ¸´ÒÔ¼°»ùÒò±í´ïµÈ¡£¡£¡£¡£¡£±¾ÎÄÑо¿ÁËÍâÔ´¾«°·£¨Spm£©¶Ô·¬ÇÑÖ²ÖêÔÚÑÎвÆÈ£¨S£©ºÍ³ý²Ý¼Á°Ù²Ý¿Ý£¨PQ£©¸´ºÏвÆÈÏµĻº½â×÷Óᣡ£¡£¡£¡£¸ÃÑо¿·¢Ã÷ÍâÔ´¾«°·´¦Öóͷ£Äܹ»ÏÔÖøÌá¸ß·¬ÇÑÖ²ÖêµÄ´æ»îÂÊ¡¢Éú³¤×´Ì¬¡¢¹âϵͳII¹¦Ð§ºÍ¹âºÏËÙÂÊ£¬£¬£¬£¬£¬£¬²¢ïÔÌÑõ»¯ËðÉ˱ê¼ÇÎÈçH?O?ºÍ±û¶þÈ©£©µÄ»ýÀÛ¡£¡£¡£¡£¡£½øÒ»²½Ñо¿·¢Ã÷£¬£¬£¬£¬£¬£¬¾«°·Í¨¹ý½µµÍÑõ»¯Ó¦¼¤£¬£¬£¬£¬£¬£¬¸ÄÉÆÁË·¬ÇÑÔÚ¸´ºÏвÆÈϵÄÄÍÊÜÐÔ¡£¡£¡£¡£¡£¸ÃÑо¿ÎªÓ¦¶ÔÌìÆø×ª±äºÍÍÁÈÀÎÛȾµÈ¶àÖØÐ²ÆÈÌṩÁËDZÔڵĽâ¾ö¼Æ»®¡£¡£¡£¡£¡£
ϱíÏÔʾÁËÍâÔ´¾«°·´¦Öóͷ£ÏÔÖøÌá¸ßÁËÑÎвÆÈºÍ°Ù²Ý¿Ý¸´ºÏвÆÈÏ·¬ÇѵĹâºÏËÙÂʺÍPSIIЧÂÊ£¬£¬£¬£¬£¬£¬·´Ó¦Á˾«°·¶Ô¹âºÏ×÷ÓõÄÔö½ø×÷Ó㬣¬£¬£¬£¬£¬Åú×¢ÆäÔÚ»º½âвÆÈ¶Ô¹âºÏ¹¦Ð§µÄÒÖÖÆ·½Ãæ¾ßÓÐÆð¾¢×÷Óᣡ£¡£¡£¡£

²Î¿¼ÂÛÎÄ£ºNešporová, T., Vítámvás, P., Kosová, K., Hynek, R., Planchon, S., & Renaut, J. (2024). Water-saving and water-spending strategy: The physiological, proteomic and metabolomic investigation of wheat response to drought and the following recovery. Plant Stress, 13, 100509.
±¾Ñо¿Ì½ÌÖÁËСÂóÔڸɺµÐ²ÆÈ¼°»Ö¸´Ê±´úµÄÐÄÀí¡¢ÂѰ×ÖÊ×éѧºÍ´úл×éѧÏìÓ¦¡£¡£¡£¡£¡£Í¨¹ý±ÈÕÕÁ½ÖÖСÂóÆ·ÖÖ£¨BaletkaºÍTobak£©ÔÚ¶ÌÆÚºÍºã¾Ã¸Éºµ´¦Öóͷ£ÒÔ¼°»Ö¸´ºóµÄÌåÏÖ£¬£¬£¬£¬£¬£¬·¢Ã÷Baletka½ÓÄÉ“½ÚË®”Õ½ÂÔ£¬£¬£¬£¬£¬£¬¼´Í¨¹ý¹Ø±ÕÆø¿×ïÔÌË®Êèɢʧ£¬£¬£¬£¬£¬£¬»ýÀÛ±£»£»£»£»£»£»£»£»¤ÐÔÂѰף¬£¬£¬£¬£¬£¬ÔöÇ¿²ÝËáÑõ»¯Ã¸»îÐÔ£¬£¬£¬£¬£¬£¬ÒÔÌá¸ßË®·ÖʹÓÃЧÂʺÍÄͺµÄÜÁ¦£¬£¬£¬£¬£¬£¬´Ó¶øÌåÏÖ³ö¸ü¸ßµÄÄͺµÐÔ£»£»£»£»£»£»£»£»¶øTobakÔò½ÓÄÉ“ºÄË®”Õ½ÂÔ£¬£¬£¬£¬£¬£¬¼´Í¨¹ý¼á³ÖÆø¿×¿ª·Åά³Ö¹âºÏ×÷Ó㬣¬£¬£¬£¬£¬µ«ÕâÖÖÕ½ÂÔµ¼Ö¸ü¸ßµÄË®Êèɢʧ£¬£¬£¬£¬£¬£¬ÇÒÔڸɺµÐ²ÆÈºóµÄ»Ö¸´ÄÜÁ¦Ïà¶Ô½ÏÈõ¡£¡£¡£¡£¡£¸ÃÑо¿Õ¹ÏÖÁ˽ÚË®ÐͺͺÄË®ÐÍСÂóÆ·ÖÖÔڸɺµË³Ó¦»úÖÆÉϵIJî±ð£¬£¬£¬£¬£¬£¬ÎªÅàÓýÄͺµÐ¡ÂóÆ·ÖÖÌṩÁËÖ÷ÒªµÄÀíÂÛÒÀ¾ÝºÍ·Ö×Ó»ù´¡¡£¡£¡£¡£¡£
ÔÚÑо¿ÖУ¬£¬£¬£¬£¬£¬Í¨¹ý±ãЯʽ¹âºÏ×÷ÓÃÕÉÁ¿ÏµÍ³²â¶¨µÄ¹âºÏ²ÎÊý£¬£¬£¬£¬£¬£¬Õ¹ÏÖÁËÁ½ÖÖСÂóÆ·ÖÖBaletkaºÍTobakÔڸɺµºÍ»Ö¸´Ê±´úµÄË®·ÖʹÓú͹âºÏÄÜÁ¦µÄÏÔÖø²î±ð¡£¡£¡£¡£¡£
×ÛÉÏËùÊö£¬£¬£¬£¬£¬£¬Baletkaͨ¹ý¹Ø±ÕÆø¿×ïÔÌË®Êèɢʧ£¬£¬£¬£¬£¬£¬Î¬³Ö½Ï¸ßµÄË®·ÖʹÓÃЧÂʺ͹âºÏЧÂÊ£¬£¬£¬£¬£¬£¬ÌåÏÖ³ö¸üÇ¿µÄÄͺµÄÜÁ¦£»£»£»£»£»£»£»£»¶øTobakÔòͨ¹ý¼á³Ö½Ï¸ßµÄÆø¿×µ¼¶Èά³Ö¹âºÏ×÷Ó㬣¬£¬£¬£¬£¬µ«Ë®·ÖʹÓÃЧÂʽϵͣ¬£¬£¬£¬£¬£¬ÄͺµÄÜÁ¦Ïà¶Ô½ÏÈõ¡£¡£¡£¡£¡£

²Î¿¼ÂÛÎÄ£ºMu, P., Ye, F., Liu, X., Zhang, P., Liu, T., & Li, X. (2025). Partial root©\zone drying irrigation enhances synthesis of glutathione in barley roots to improve low temperature tolerance. The Plant Journal, 121(3), e70026.
±¾ÎÄÑо¿Á˲¿·Ö¸ùÇø½»Ìæ½½¹à£¨PRD£¬£¬£¬£¬£¬£¬½»ÌæÊªÈóºÍ¸ÉÔïÖ²Îï¸ùϵµÄ²î±ðÇøÓò£©¶Ô´óÂóÄ͵ÍÎÂÄÜÁ¦µÄÓ°Ïì¡£¡£¡£¡£¡£Ñо¿·¢Ã÷£¬£¬£¬£¬£¬£¬²¿·Ö¸ùÇø½»Ìæ½½¹àÄܹ»ÏÔÖøÌá¸ß¾þÂóÔÚµÍÎÂÌõ¼þϵľ»¹âºÏËÙÂÊ¡¢Æø¿×µ¼¶ÈºÍ¹âϵͳIIµÄ×î´ó×Ú×ÓЧÂÊ£¬£¬£¬£¬£¬£¬Í¬Ê±½µµÍÏà¶Ôµçµ¼ÂÊ¡£¡£¡£¡£¡£´úл×éѧÆÊÎöÅú×¢£¬£¬£¬£¬£¬£¬PRDÔö½øÁË´óÂó¸ùÖйÈë׸ÊëĺÍ9-Ê®°Ë̼ϩõ£°·µÄ»ýÀÛ£¬£¬£¬£¬£¬£¬×ªÂ¼×éÆÊÎöҲ֤ʵÁËÏà¹Ø»ùÒò±í´ïµÄת±ä¡£¡£¡£¡£¡£±ðµÄ£¬£¬£¬£¬£¬£¬PRD»¹Í¨¹ý¸Ä±ä¸ù¼Ê΢ÉúÎïȺÂäµÄ×é³É£¬£¬£¬£¬£¬£¬¸»¼¯½¹µã΢ÉúÎ£¬£¬£¬£¬£¬½øÒ»²½ÔöÇ¿ÁË´óÂóµÄÄ͵ÍÎÂÄÜÁ¦¡£¡£¡£¡£¡£¸ÃÑо¿Åú×¢£¬£¬£¬£¬£¬£¬PRDÊÇÒ»ÖÖͨ¹ý½½¹à¹ÜÀíÌá¸ß×÷ÎïÄÍÄæÐÔµÄÓÐÓÃÕ½ÂÔ¡£¡£¡£¡£¡£
ÏÂͼչʾÁ˲î±ð´¦Öóͷ£Ìõ¼þÏ´óÂóҶƬµÄ¾»¹âºÏËÙÂÊ£¨An£©¡¢Æø¿×µ¼¶È£¨Gs£©ºÍ×î´ó¹â»¯Ñ§Ð§ÂÊ£¨Fv/Fm£©¡£¡£¡£¡£¡£Ð§¹ûÏÔʾ£¬£¬£¬£¬£¬£¬PRD ´¦Öóͷ£µÄ´óÂóÔÚµÍÎÂÌõ¼þÏÂÌåÏÖ³ö¸ü¸ßµÄ An¡¢Gs ºÍ Fv/Fm Öµ£¬£¬£¬£¬£¬£¬Åú×¢Æä¹âºÏÄÜÁ¦ºÍÆø¿×¹¦Ð§»ñµÃÁËÏÔÖø¸ÄÉÆ¡£¡£¡£¡£¡£

º£ÑóÖ®Éñ590¹ÙÍøÈë¿Ú¹«Ë¾Ìṩ¹âºÏ×÷ÓÃÕÉÁ¿ÖÜÈ«½â¾ö¼Æ»®£º

Î÷°²Ñз¢ÖÐÐÄ
΢ÐŹ«ÖÚºÅ
ÓªÒµ×Éѯ
΢ÐźÅ
º£ÑóÖ®Éñ590¹ÙÍøÈë¿Ú¹«Ë¾
΢ÐŹ«ÖÚºÅ
º£ÑóÖ®Éñ590¹ÙÍøÈë¿Ú¹«Ë¾
ÊÓÆµºÅ
ÁªÏµº£ÑóÖ®Éñ590¹ÙÍøÈë¿Ú£º
µØÖ·: ±±¾©Êк£µíÇø¸ßÀïÕÆÂ·3ºÅÔº6ºÅÂ¥1µ¥Î»101B
µç»°: 010-82611269/1572
ÊÖ»ú: 13671083121
´«Õæ: 010-62465844
Email: info@eco-tech.com.cn
ÓÑÇéÁ´½Ó£º
